Rapid Plume Modelling (RPM) Tool
Rapid Plume Modelling (RPM) provides quick and reliable estimates on the likely areas to be influenced when depositing dredged material underwater by, for example, pipeline or barge. For environmental applications, the likely environmental impacts must be known.
Traditionally, computational fluid dynamic models, which require extensive field measurements to setup, are used to provide the necessary data for environment impact assessments. These models are time consuming to use as they take a long time to setup, run and analyse, and are sensitive to numerical discrepancies.
Conversely, in2Dredging’s RPM is quick and easy to use as it only requires a set of site-specific input parameters reflecting the local hydrodynamic conditions and the soil characteristics of the dredged material. Furthermore, RPM provides its estimates with a simple push of a button and is not affected by numerical discrepancies.
RPM is based on the principles of a buoyant jet, which represents the movement of disposed sediments. The tool not only provides comprehensive insight into the buoyant jet’s footprint, but also:
- The buoyant jet’s trajectory in cross flow;
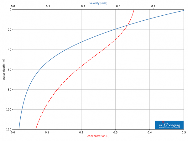
- The concentration and velocity of the buoyant jet upon arrival on the seabed;
- The radial dispersion of the density flow above the seabed; and
- The settlement of soil particles on the seabed.
RPM simulates the buoyant jet’s three-dimensional trajectory in cross flow using a so-called Integral Model Technique, which determines the deposition pattern by modelling a density flow that radially disperses whilst the soil settles. The perimeter of the influenced area is strongly influenced by the particle size distribution.

Buoyant Jet Trajectory
RPM's Capabilities
RPM can be used for the placement of a wide variety of soil types under water and in a range of water depths from offshore deep-water disposal by hopper to shallow water placement. Once the mixture flow parameters, the soil characteristics and model parameters have been entered into RPM, it can assist with:
- Estimating the fate and extent of the turbidity plume;
- Predicting the deposition footprint and influenced area;
- Designing diffusors and/or configurations to ensure that materials are placed accurately and according to specifications; and
- Analysing and evaluating underwater placement methodologies and configurations.
RPM has already been successfully used for environmental applications to obtain project approvals. RPM provides its estimates in the blink of an eye whilst generating a reliable zone of influence. In addition, RPM is a much more cost-effective tool than the traditional computational fluid dynamic models, whilst still providing comparable fit-for-purpose results.
RPM Velocity and Concentration Profile